OPLNFL - полуапохроматические объективы для микроскопии
- Тип коррекции: полуапохромат.
- Тип иммерсии: воздушная, сухая.
- Увеличение: 4X, 10X, 20X, 40X, 50X, 60X, 100X.
- Числовая апертура (NA): 0,13-0,9.
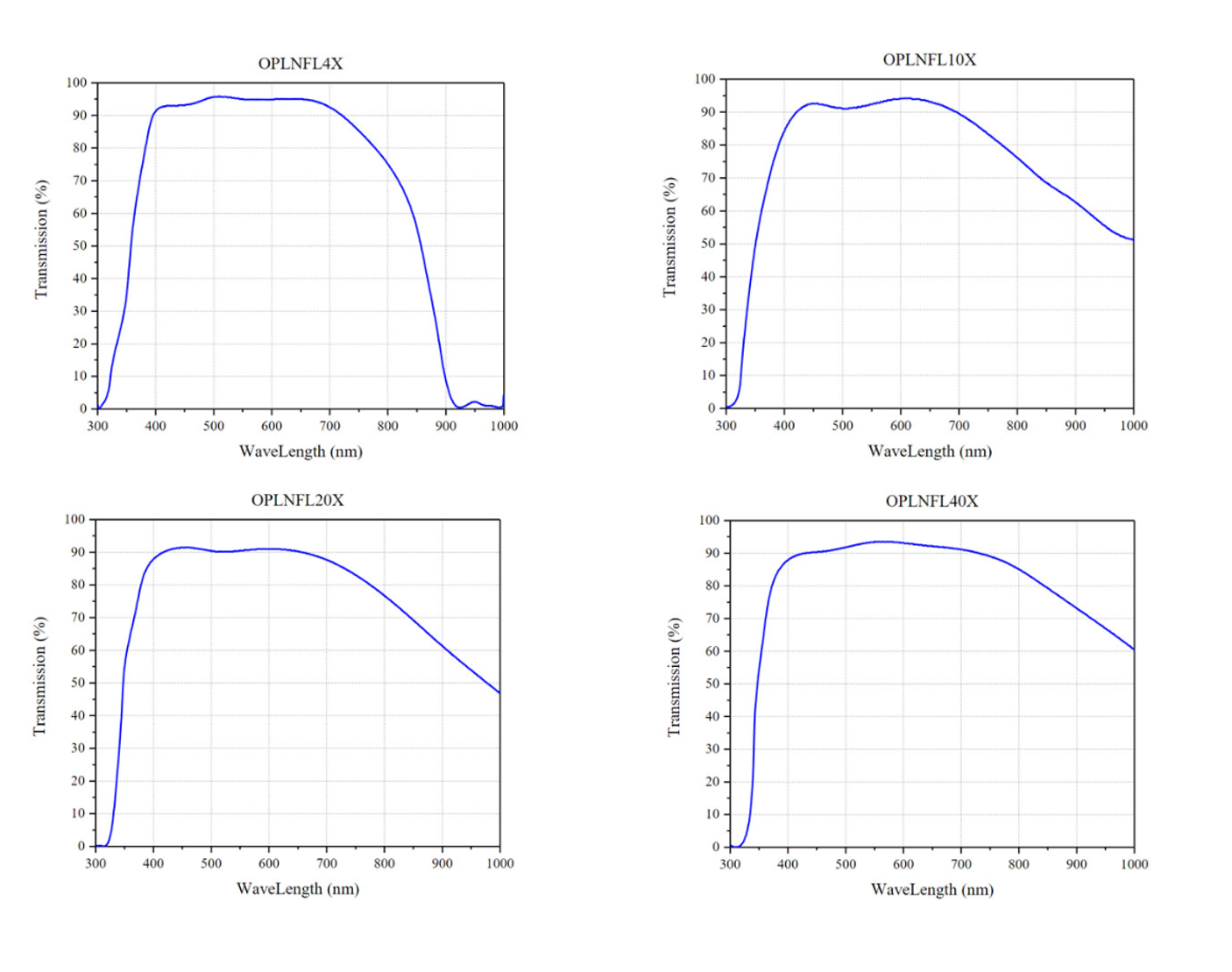
- Рабочий диапазон длин волн: 380-900 нм.
- Рабочее расстояние: 0,2-17 мм.
OPLNFL производства Olympus представляют собой полуапохроматические объективы с коррекцией на бесконечность и плоским полем, предназначенные для широкого спектра исследовательских задач. Конструкция объективов на основе флюорита (CaF₂) обеспечивает превосходную коррекцию оптических аберраций в расширенном спектральном диапазоне от ультрафиолетового до ближнего инфракрасного излучения.
Особенностью серии является поддержка различных методов микроскопии – объективы с увеличением 10X, 20X, 40X и 60X оптимизированы для дифференциально-интерференционно-контрастной микроскопии. Модель OPLNFL60X оснащена корректирующим кольцом для компенсации аберраций, вызванных различной толщиной покровного стекла. Все модели имеют стандартное RMS-резьбовое соединение и совместимы с переходными адаптерами для интеграции в оптические системы. Оптические характеристики объективов OPLNFL делают их оптимальным решением для исследований в области биологии, материаловедения и промышленного контроля качества.
| Параметр | Значение | Ед. измерения |
|---|---|---|
| Тип коррекции | Полуапохромат |
|
| Тип иммерсии | Воздушный / Сухой |
|
| Рабочий диапазон длин волн | 380-900 | нм |
| Парфокальное расстояние | 45 | мм |
| Тип резьбы | W20.32×0.706 (RMS) | мм |
Сравнительные характеристики моделей
| Модель | Увеличение, X | Числовая апертура | Рабочее расстояние, мм | Фокусное расстояние, мм | Апертура линзы, мм | Толщина стекла покрытия, мм |
|---|---|---|---|---|---|---|
|
OPLNFL4X
|
4 | 0,13 | 17 | 45 | 11,7 |
|
|
OPLNFL10X
|
10 | 0,3 | 10 | 18 | 10,8 |
|
|
OPLNFL20X
|
20 | 0,5 | 2,1 | 9 | 9 | 0,17 |
|
OPLNFL40X
|
40 | 0,75 | 0,51 | 4,5 | 6,75 | 0,17 |
|
OPLNFL50X
|
50 | 0,8 | 3 | 3,6 | 5,76 |
|
|
OPLNFL60X
|
60 | 0,9 | 0,2 | 3 | 5,4 | 0,11-0,23 |
|
OPLNFL100X
|
100 | 0,9 | 1 | 1,8 | 3,24 |
|
- Флуоресцентная микроскопия в УФ и видимом диапазонах.
- Клеточная биология.
- Научные исследования.
- Контроль качества.
- Материаловедение.
- Образовательные и исследовательские микроскопы





