ГлавнаяКаталогЛазерные диоды. Диоды накачки. ДрайверыЛазерные диоды с резонатором Фабри-ПероЛазерные диоды накачки с резонатором Фабри-Перо, 785 - 1490 нмPL-HP-FP-940 - 940 нм лазерный диод накачки с ВБР
PL-HP-FP-940 - 940 нм лазерный диод накачки с ВБР
PL-HP-FP-940 - серия лазерных диодов накачки с резонатором Фабри-Перо в корпусе 14-pin "бабочка" с центральной длиной волны 940 нм.
- Центральная длина волны 940 нм.
- Ширина спектра 0,08 нм.
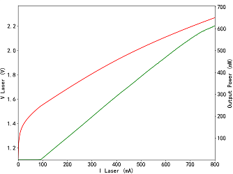
- Выходная мощность до 615 мВт.
- Корпус 14-pin "бабочка".
- Тип волокна PM980.
Производитель: LD-PD
Лазерные диоды Фабри-Перо серии PL-HP-FP-940 представляют собой высокомощные источники когерентного излучения с центральной длиной волны 940 нм. Они идеально подходят для таких применений, как накачка твердотельных лазеров, спектральный анализ, лазерная локация и графика. Диоды собраны в стандартном герметичном корпусе 14-pin «бабочка» со встроенными TEC и PD.
Особенности:- Выходная оптическая мощность до 615 мВт.
- Коннектор FC/APC.
- Корпус 14-pin «бабочка».
- Встроенный TEC, термистор и ФД.
- Высокий динамический диапазон.
- Отличная стабильность при низком энергопотреблении.
| Параметр | Мин. | Тип. | Макс. | Ед. измерения |
|---|---|---|---|---|
| Центральная длина волны | 939 | 940 | 941 | нм |
| Ширина спектра | 0,01 | 0,08 | 0,1 | нм |
| Пороговый ток |
|
80 | 100 | мА |
| Рабочий ток |
|
600 | 800 | мА |
| Выходная оптическая мощность |
|
550 | 615 | мВт |
| Коэффициент перестройки температурой |
|
|
0,01 | нм/°C |
| Коэффициент слежения1 | 0,52 |
|
1,48 |
|
| Ошибка слежения2 | -48 |
|
+48 |
|
| Чувствительность ФД | 0,5 |
|
5 | мкА/мВт |
| Темновой ток ФД (VRD=5В) |
|
|
0,1 | мкА |
| Коэффициент экстинкции (для PM версии) | 17 | 20 |
|
дБ |
| Тип волокна |
PM980 |
|
||
| Прямое напряжение |
|
1,8 | 2,6 | В |
| Сопротивление термистора | 9,5 | 10 | 10,5 | кОм |
| Температурный коэффициент термистора |
|
-4,4 |
|
%/°C |
| Тип коннектора |
FC/APC, без коннектора |
|
||
- Коэффициент слежения - это параметр, который показывает, насколько точно изменяется выходная оптическая мощность в зависимости от изменения обратного фототока. На графике зависимости оптической мощности от обратного фототока проводится прямая линия между минимальной мощностью (30 мВт) и рабочей мощностью (Pop). Коэффициент слежения определяется как отношение измеренной оптической мощности (представленной в виде точек на графике) к значению, полученному из прямой линии.
- Ошибка слежения определяется как нормализованное изменение выходной мощности относительно Pf при 25°C, т. е. (Pf –Pf_25)/Pf_25, в диапазоне температур корпуса от 0 до 75°C, при постоянном обратном фототоке, соответствующем наименьшему значению при Pf =Pop для температур 0°C, 25°C и 75°C.
- Накачка волоконных лазеров.
- Плотное мультиплексирование с разделением по длине волны (DWDM).
- Накачка волоконных усилителей.
- EDFA усилители с высокой скоростью передачи данных и большим количеством каналов.
- CATV.





