Комплексные решения для газоанализа: лазерные диоды, фотодетекторы и анализ измерений
Современные технологии газоанализа играют ключевую роль в обеспечении безопасности, экологической устойчивости и эффективности промышленных процессов, а также активно применяются в медицине и научных исследованиях. Они позволяют точно определять концентрации отдельных компонентов в газовых смесях, таких как кислород, углекислый газ, метан, оксиды азота, сероводород и другие вещества. Это делает их незаменимыми для контроля качества воздуха, диагностики заболеваний и изучения химических процессов.
На сегодняшний день существует множество методов газоанализа, включая инфракрасную спектроскопию, электрохимические методы, масс-спектрометрию, газовую хроматографию, термокаталитические подходы и многие другие. Выбор метода зависит от ряда факторов, таких как требуемая точность измерений, тип анализируемых газов, условия эксплуатации и бюджетные ограничения.
Система для газоанализа
Метод TDLAS
Особое место среди современных технологий занимает метод TDLAS (Tunable Diode Laser Absorption Spectroscopy, или диодно-лазерная абсорбционная спектроскопия) – бесконтактный диагностический подход измерения поглощения энергии лазерного излучения молекулами газа. TDLAS позволяет не только точно определять концентрацию веществ в газовой среде, но и измерять температуру, давление, скорость и плотность потока. Ключевые преимущества метода включают компактность, высокую скорость обработки данных и возможность одновременного анализа нескольких параметров в режиме реального времени.
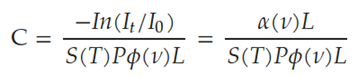
Метод TDLAS использует полупроводниковый лазер в качестве источника излучения, который генерирует свет строго определенной частоты. Этот свет проходит через исследуемый газ, поглощение в котором подчиняется закону Бугера — Ламберта — Бера. Данный закон устанавливает зависимость между поглощением света газом и его концентрацией. Математически эта зависимость выражается через соотношение интенсивностей проходящего (It) и падающего (I0) излучений:
где ν — длина волны падающего света, C — объёмная доля газа, P и T — давление и температура, φ(ν) — нормированная функция поглощения, а S(T) — интенсивность спектральной линии при температуре T.
Связь между концентрацией и оптической плотностью можно вывести из уравнения (1); её можно выразить следующим образом:
где α(ν) — коэффициент поглощения молекулы газа на определённой частоте. Таким образом, это уравнение позволяет точно определить концентрацию газа, измеряя ослабление светового сигнала.
Преимущества использования лазерных технологий для высокоточных измерений
Использование лазерных технологий для газоанализа, таких как метод TDLAS, имеет ряд значительных преимуществ по сравнению с традиционными методами. Вот основные из них:
1. Высокая точность и чувствительность: лазерные технологии позволяют обнаруживать даже следовые концентрации газов и проводить высокоточные измерения в сложных смесях.
2. Бесконтактность: лазерные методы не требуют прямого контакта с анализируемым газом, что делает их идеальными для работы в агрессивных или опасных условиях.
3. Измерения в режиме реального времени: с помощью фотодиодов на основе InGaAs и Si структур можно в режиме реального времени проводить мониторинг применения лазеров для оперативного управления промышленными процессами.
4. Дистанционные измерения: лазерные системы позволяют проводить измерения на расстоянии, что особенно важно для мониторинга выбросов в атмосфере.
5. Высокая селективность: узкие спектральные линии лазеров позволяют избежать перекрестных помех других газов, что повышает точность измерений.
6. Компактность систем: современные лазерные системы имеют небольшие размеры, что позволяет интегрировать их в портативные устройства, облегчая проведение измерений в полевых условиях.
7. Улучшенное соотношение сигнал/шум: для снижения потерь в лазерных системах используются инновационные подходы, например, измерение потерь в резонаторе, или применение фильтра Савицкого-Голея для обработки и оптимизации сигнала.
8. Низкие эксплуатационные расходы: отсутствие расходных материалов и длительный срок службы лазерных компонентов снижает эксплуатационные затраты на проведение измерений.
9. Универсальность: лазерные методы применяются для детектирования и анализа множества газов, что делает их универсальными для применения в промышленных сферах, оптической связи, медицинской диагностике и мониторинге окружающей среды.
Основные компоненты системы
Для газоанализа используются специализированные лазерные диоды, которые способны генерировать излучение в определённых спектральных диапазонах, соответствующих линиям поглощения целевых газов. Выбор лазерного диода для газоанализа зависит от спектральных характеристик целевых газов и условий применения. Наиболее распространенные длины волн для детектирования газов:
| Газ | Длины волн (нм) | Применения |
|---|---|---|
|
O2 (Кислород)
|
760, 1064 | Газоанализ и биомедицинские приложения. |
|
H2O (Водяной пар)
|
1368, 1392 | Измерение влажности и мониторинг атмосферы. |
|
NH3 (Аммиак)
|
1512, 1530 | Мониторинг выбросов и сельское хозяйство. |
|
C2H2 (Ацетилен)
|
1530 | Мониторинг промышленных выбросов. |
|
N2O (Оксид азота)
|
1521, 2200, 2270 | Мониторинг промышленных выбросов. |
|
H2S (Сероводород)
|
1565, 1578 | Нефтегазовая промышленность, контроль утечек. |
|
CO (Оксид углерода)
|
1568, 1580, 2327 | Контроль качества воздуха, промышленные применения. |
|
CO2 (Диоксид углерода)
|
1572, 1580, 2004 | Измерение выбросов и контроль климата. |
|
CH4 (Метан)
|
1650, 1664 | TDLAS для экологического мониторинга. |
|
C3H8 (Пропан)
|
1700–1730 | Анализ углеводородов в нефтегазовой отрасли. |
|
HCl (Хлористый водород)
|
1742 | Газоанализ в промышленных установках. |
|
C4H10 (Бутан)
|
2200–2230 | Детектирование топлива и углеводородов. |
|
CH4, C2H6, C3H8
|
3240, 3291, 3390 | Газы с более сложными молекулярными линиями, подходящие для инфракрасной спектроскопии. |
DFB лазерный диод для TDLAS
Фотодетекторы играют одну из ключевых ролей в методах газоанализа, особенно в методе диодно-лазерной абсорбционной спектроскопии (TDLAS). Они преобразуют оптический сигнал (свет), прошедший через газовую среду, в электрический сигнал, который затем анализируется для определения концентрации газов. Среди их преимуществ — высокая чувствительность к слабым сигналам, широкий спектральный диапазон, мгновенный отклик и компактность устройств. Выбор фотодетектора зависит от спектра поглощения целевого газа и требуемой чувствительности измерений.
Фотодетектор для ИК-диапазона
Как правильно выбрать InGaAs фотодетектор>>
Следующий важный компонент — газовые ячейки. Они представляют собой герметичный корпус, заполненный газом, через который проходит лазерное излучение. Газ внутри ячейки поглощает свет на определённых длинах волн, что регистрируется фотодетектором. На основе ослабления светового сигнала рассчитывается концентрация газа. Газовые ячейки широко применяются для калибровки приборов, исследования спектров поглощения газов и тестирования измерительных систем, обеспечивая высокую точность и надёжность измерений.
Газовая ячейка
4. Устройства для анализа измерений
Анализаторы оптического спектра (OSA) используются в газоанализе для измерения и анализа спектров поглощения газов, что позволяет точно определять их концентрацию и идентифицировать компоненты в смесях. Они регистрируют интенсивность света на различных длинах волн после его прохождения через газовую среду, обеспечивая высокую точность и чувствительность измерений. OSA применяются для калибровки оборудования, исследования спектральных линий, мониторинга газовых смесей в реальном времени и анализа сложных многокомпонентных сред. Благодаря своей универсальности и способности работать в широком спектральном диапазоне, анализаторы оптического спектра являются ключевым инструментом газоанализа в промышленности, экологии, медицине и научных исследованиях.
Модуль для абсорбционной спектроскопии с перестраиваемым лазерным диодом позволяет реализовать полный цикл спектроскопии с модуляцией длины волны. Лазер модулируется низкочастотным треугольным сигналом и высокочастотным синусоидальным сигналом, а эхо-сигнал детектируется c помощью фазовой синхронизации.
Модуль TDLAS Модулирующий сигнал
Аппаратное обеспечение включает в себя цифровой генератор сигналов, лазерный драйвер, регулятор температуры, усилитель с регулируемым коэффициентом усиления, фильтр и цифровой синхронный усилитель. В оборудовании встроен алгоритм, который позволяет получить результат измерения концентрации газа на оптическом тракте, что обеспечивает удобство для пользователя.
Использование модуля возможно в трех видах схем.
Схема 1: Длиннобазовая ячейка с многократным отражением (верхняя часть рисунка).
В такой схеме множественные проходы света усиливают поглощение отслеживаемых газов, обеспечивая передел обнаружения на уровне ppb.
Схема 2: Открытое обнаружение (средняя часть рисунка). Система работает по принципу открытого оптического пути. Расстояние обнаружения зависит от характеристик отражателя и конструкции линзы. Поскольку распределение газа неоднородно, поглощение рассчитывается как интеграл концентрации по пути.
Схема 3: Волоконная каскадная распределенная абсорбционная ячейка (нижняя часть рисунка). Оптическое волокно может быть произвольно удлинено и использоваться для измерения концентрации газа в нескольких точках на больших расстояниях.
Схемы использования модуля TDLAS
Сопутствующее оборудование:
- Широкополосные источники для спектроскопии
- Непрерывные лазеры
- Измерение параметров лазеров, оптики и оптоэлектроники
- Источники излучения для оптических измерений
- Оптомеханические устройства и системы
- Оптические усилители. Волоконные и SOA
- Пассивные волоконные компоненты
- Оптические модуляторы
Компания «Специальные Системы. Фотоника» является официальным дистрибьютером представленных решений и оказывает техническую поддержку на территории России и ЕАЭС.
Для получения дополнительной информации и оформления заказа вы можете связаться с нашими специалистами, которые помогут подобрать оптимальное решение под ваши задачи.





